The document contains the theory about modelling a quartz crystals and explains practical measurement using the Bode 100 vector network analyzer.
The goal of this lesson about quartz crystals is to answer the following questions:
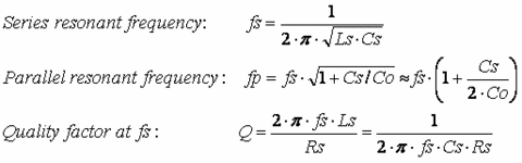
- What is the serial resonance?
- What is the parallel resonance?
- What is the anti-resonance?
- How does the Q range of quartz compare to a RLC resonance circuit?
- Why is the quartz frequency 32.768KHz so popular?
For details on this application, download the document below.
If you want to share an application on our webpage, please send us a message to info[at]omicron-lab.com. We are looking forward to hear from you.


